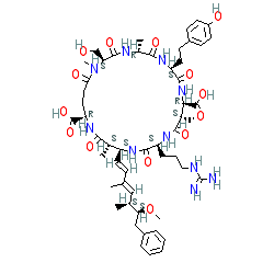
CyanoMetDB_2052

Name: [Mser7]MC?HtyR

Class: Microcystin

Alternative Name:

Formula: C53H76N10O14

Molecular Weight: 1077.247

Monoisotopic Mass (Neutral): 1076.554247

Monoisotopic Mass ([M+H]+): 1077.561523

International Chemical ID: NIQDHGDEFXYGRF-AHSSRTABSA-N

IUPAC name: 15-(3-((diaminomethylene)amino)propyl)-2-(hydroxymethyl)-8-(4-hydroxyphenethyl)-18-((1E,3E)-6-methoxy-3,5-dimethyl-7-phenylhepta-1,3-dien-1-yl)-1,5,12,19-tetramethyl-3,6,9,13,16,20,25-heptaoxo-1,4,7,10,14,17,21-heptaazacyclopentacosane-11,22-dicarboxylic acid

Chemical Structure

BuildBlock: cyclo[-(D-Ala)--(Hty)--(D-bMe-Asp)--(Arg)--(Adda)--(D-Glu)--(Mser)-]

Try one of links below to convert SMILES to structure

Chemical Structure (SMILES 1)
Chemical Structure (SMILES 2)
Chemical Structure (SMILES 3)
PubChem Link

References

Sulfide Oxidations for LC-MS Analysis of Methionine-Containing Microcystins in Dolichospermum flos-aquae NIVA-CYA 656;Environmental Science & Technology;48;22;;2014;journalArticle;10.1021/es5029102;Miles, Christopher O.; Melanson, Jeremy E.; Ballot, Andreas


Possible Producers

Genus: Anabaena/Dolichospermum

Species: flos aquae